Efficienza Energetica degli impianti elettrici
| ID 8338 | | Visite: 12427 | Documenti impianti riservati | Permalink: https://www.certifico.com/id/8338 |
Efficienza Energetica degli impianti elettrici
ID 8338 | 11.05.2019
In allegato Documento completo in relazione alla Direttiva (UE) 2018/844 che aggiorna la direttiva 2010/31/UE sulla prestazione energetica nell'edilizia e la direttiva 2012/27/UE sull'efficienza energetica.
Con la nuova Direttiva (UE) 2018/844 è presa in esame a livello legislativo l’efficienza Energetica degli impianti elettrici come nuovo capitolo in tema della prestazione energetica degli impianti (finora dopo quello termico).
Il riferimento tecnico normativo di appoggio è la CEI 64-8/8.1 (2017), che tratta dell'Efficienza energetica degli impianti elettrici. Vengono previste cinque classi di efficienza dell’impianto elettrico:
Dove EIEC = EM + EEPL
- EM=misura di efficienza (valori da 0 a 4)
- EEPL=livello di prestazione di efficienza energetica (valori da 0 a 4).
Per la realizzazione degli Impianti elettrici nell'edilizia, dovrà essere considerata la loro Efficienza energetica.
Excursus
Premessa
Il 19 giugno 2018 è stata pubblicata la Direttiva (UE) 2018/844 che aggiorna la direttiva 2010/31/UE sulla prestazione energetica nell'edilizia e la direttiva 2012/27/UE sull'efficienza energetica. Tra le novità più rilevanti vi è la presenza di nuovo indicatore di predisposizione degli edifici all'intelligenza (facoltativo per gli Stati membri), la definizione di una strategia e di una tabella di marcia per la ristrutturazione a lungo termine.
Il nuovo disposto riporta inoltre nuove indicazioni relative agli impianti tecnici per l’edilizia, la mobilità elettrica e l’ispezione degli impianti. I vari stati membri dovranno conformarsi alla direttiva entro il 10 marzo 2020.
La nuova Direttiva impone agli Stati Membri l’obbligo di sviluppare dei piani nazionali di lungo periodo che incentivino la riqualificazione efficiente degli edifici, così da ridurre le emissioni in misura pari all’80- 85% rispetto ai dati del 1990.
Gli Stati Membri avranno quindi l’obbligo di individuare strategie a lungo termine che permettano di semplificare la trasformazione di tutti gli edifici, indipendentemente dalla loro destinazione d’uso, in strutture efficienti, decarbonizzate, e ad energia quasi zero, entro il 2050.
Un altro obbiettivo sarà quello di individuare degli indicatori di progresso prestabiliti e misurabili a livello nazionale che indichino delle tappe intermedie (al 2030, 2040 e 2050) del progresso realizzato sul versante dell’efficienza degli edifici.
La Direttiva 844/2018 impone, inoltre, di sviluppare misure che stimolino gli investimenti e promuovano il recupero del patrimonio edilizio esistente e altre che promuovano lo sviluppo delle infrastrutture per l’elettromobilità. Si dovranno poi innalzare le soglie per gli obblighi di ispezioni degli impianti di condizionamento e riscaldamento, affidandosi sempre più ai sistemi di monitoraggio automatici, e andrà stimolato l’uso di sistemi smart per il controllo efficiente degli edifici.
Gli Stati Membri dovranno inoltre semplificare e rendere più trasparenti le metodologie di calcolo della prestazione energetica e aumentare la comunicazione e l’informazione ai consumatori in modo da tutelarsi dalla povertà energetica. Nel testo della Direttiva si legge ancora che gli Stati Membri, qualora sia tecnicamente ed economicamente fattibile, dovranno stabilire che gli edifici non residenziali con una potenza nominale utile superiore a 290 kW per gli impianti di riscaldamento o gli impianti di riscaldamento e ventilazione, siano dotati di sistemi di automazione e controllo entro il 2025.
“sistema tecnico per l’edilizia”: l’apparecchiatura tecnica di un edificio o di un’unità immobiliare per il riscaldamento o il rinfrescamento di ambienti, la ventilazione, la produzione di acqua calda per uso domestico, l’illuminazione integrata, l’automazione e il controllo, la produzione di energia elettrica in loco o una combinazione degli stessi, compresi i sistemi che sfruttano energie da fonti rinnovabili.
...
Impianti tecnici per l’edilizia, la mobilità elettrica e l’indicatore di predisposizione degli edifici all’intelligenza
…
10. Entro il 31 dicembre 2019 la Commissione adotta un atto delegato in conformità dell’articolo 23, che integra la presente direttiva istituendo un sistema comune facoltativo a livello di Unione per valutare la predisposizione degli edifici all’intelligenza.
Tale valutazione si basa su un esame della capacità di un edificio o di un’unità immobiliare di adattare il proprio funzionamento alle esigenze dell’occupante e della rete e di migliorare l’efficienza energetica e la prestazione complessiva.
...
La Norma CEI 64-8, Parte 8.1 Efficienza Energetica degli impianti elettrici
Impianti elettrici utilizzatori a tensione nominale non superiore a 1 000 V in corrente alternata e a 1 500 V in corrente continua
Parte 8-1: Efficienza energetica degli impianti elettrici
La presente Parte fornisce prescrizioni, misure e raccomandazioni supplementari per il progetto, l’installazione e la verifica di tutti i tipi di impianti elettrici a bassa tensione, compresi la produzione locale e l’accumulo dell’energia per ottimizzare l’utilizzo efficiente globale dell’elettricità.
Essa introduce le prescrizioni e le raccomandazioni per il progetto di un impianto elettrico nel quadro di un approccio di gestione dell’efficienza energetica per ottenere il miglior servizio permanente funzionalmente equivalente con il consumo di energia elettrica più basso e nelle condizioni di disponibilità di energia e di equilibrio economico più accettabili.
Queste prescrizioni e raccomandazioni si applicano, all’interno della Norma CEI 64-8, agli impianti nuovi ed alla modifica degli impianti esistenti.
La norma CEI Parte 8.1 della 64-8 “Impianti elettrici utilizzatori a tensione nominale non superiore a 1000 V in corrente alternata e a 1500 V in corrente continua”, in vigore da novembre 2016 è dedicata alle prestazioni energetiche degli impianti, e di cui a livello europeo si sta già discutendo la seconda edizione.
La parte 8.1 al momento non riporta indicazioni per impianti esistenti e loro adattamento (allo studio)
…
12 Processo di valutazione per gli impianti elettrici
12.1 Impianti nuovi, modifiche ed estensioni degli impianti esistenti
Allo studio.
12.2 Adattamento degli impianti esistenti
Allo studio.
Conoscere ciò che l’organizzazione sta consumando in un dato momento è uno dei modi più efficaci per il risparmio energetico.
La misura è un parametro chiave per fornire all’utente la consapevolezza dei consumi. Solo la disponibilità delle misure permette di far funzionare il sistema di gestione dell’efficienza energetica in anello chiuso.
Tutto ciò a conferma che l’impiego di sistemi di automazione, regolazione, comando e controllo costituiscono una delle strategie di miglioramento della prestazione energetica.
Le Classi di Efficienza di un impianto elettrico
Il normatore propone un inedito metodo di classificazione dell’efficienza energetica di un impianto elettrico secondo l’ormai classico approccio delle classi e al contempo costituisce la strutturazione dei principi di progettazione in ottica efficienza energetica.
Vengono previste cinque classi di efficienza dell’impianto elettrico, da EIEC0 a EIEC4 (Tabella 1).
| Classe di efficienza energetica | Efficienza impianto |
| EIEC 0 | Molto bassa |
| EIEC 1 | Bassa |
| EIEC 2 | di riferimento |
| EIEC 3 | Avanzata |
| EIEC 4 | Ottimizzata |
Tabella 1 - Classi di efficienza dell’impianto elettrico EIEC
L’appartenenza di un impianto ad una classe piuttosto che ad un’altra, deriva dalla somma di due punteggi parziali a loro volta derivanti dalle caratteristiche dell’impianto:
EIEC = EM + EEPL
dove:
- EIEC: Classe di efficienza dell’impianto elettrico;
- EM: misura di efficienza (valori da 0 a 4);
- EEPL: livello di prestazione di efficienza energetica (valori da 0 a 4).
Misura di efficienza EM
Le misure di efficienza (EM) sono in pratica 13 aspetti impiantistici che hanno un impatto sull’efficienza energetica.
Nell’allegato B1 della CEI 64-8, Parte 8.1 sono forniti, in forma tabellare, la classificazione di parametri di efficienza energetica adottati (EM) con 13 tabelle, che esemplificano le modalità per ciascun componente dell’impianto elettrico come ad esempio l’illuminazione, la climatizzazione (HVAC), i trasformatori, i motori, le condutture, ecc
Tabella B.1 – Determinazione del profilo di carico in kWh
Tabella B.2 – Posizione della cabina principale
Tabella B.3 – Analisi di ottimizzazione richiesta per i motori
Tabella B.4 – Analisi di ottimizzazione richiesta per l’illuminazione
Tabella B.5 – Analisi di ottimizzazione richiesta per HVAC
Tabella B.6 – Analisi di ottimizzazione richiesta per i trasformatori
Tabella B.7 – Analisi di ottimizzazione richiesta per il sistema di condutture
Tabella B.8 – Analisi di ottimizzazione richiesta per la correzione del fattore di potenza
Tabella B.9 – Prescrizione per la misura del fattore di potenza (PF)
Tabella B.10 – Prescrizione per la misura dell’energia elettrica (kWh) e della potenza (kW)
Tabella B.11 – Prescrizione per la misura della tensione (V)
Tabella B.12 – Prescrizione per la misura delle armoniche e delle interarmoniche
Tabella B.13 – Prescrizione per l’energia rinnovabile
Livello di prestazione di efficienza energetica EEPL
Analogo a quello delle misure di efficienza, è il sistema di valutazione dei livelli di prestazione di efficienza energetica (EEPL), Tabelle da B14 a B16 dell’Allegato B2 della CEI 64-8, Parte 8.1
I livelli di prestazione EEPL prendono in considerazione tre aspetti:
Tabella B.14 – Prescrizione minima per la distribuzione del consumo annuale
Tabella B.15 – Prescrizione minima per la riduzione della potenza attiva
Tabella B.16 – Prescrizione minima per l’efficienza del trasformatore
Di particolare interesse per il mercato della distribuzione elettrica sono le misure di efficienza energetica e i livelli di prestazione energetica che coinvolgono i singoli componenti.ì
...
CEI 64-8 Parte 8.1
Allegato A (informativo)
Determinazione della posizione del trasformatore e del quadro di distribuzione principale mediante il metodo del baricentro
A.1 Metodo del baricentro
Quando si progetta un impianto, si raccomanda di considerare il posizionamento dei trasformatori e dei quadri di distribuzione il più vicino possibile alle apparecchiature e ai sistemi a consumo elevato di energia per ridurre le perdite nel sistema di distribuzione di elettricità dell’impianto.
Il metodo del baricentro fornisce un modo per definire la posizione energeticamente più efficiente dei trasformatori e dei quadri di distribuzione in un impianto grazie alla riduzione delle perdite elettriche.
L’obiettivo di questo metodo è quello di installare il trasformatore e il quadro di distribuzione in una posizione sulla base di una ponderazione relativa in funzione del consumo di energia dei carichi, in modo che la distanza rispetto ad un carico di consumo elevato di energia sia inferiore alla distanza in rapporto ad un carico di consumo più basso di energia.
Il baricentro permette di definire la posizione delle apparecchiature per ridurre il più possibile le lunghezze e le sezioni dei conduttori. L’aumento della dimensione dei cavi necessario per soddisfare le limitazioni di caduta di tensione può essere evitato per i cavi di alimentazione con caratteristiche nominali elevate. Vedi anche 6.7.2.
Questo metodo prende in considerazione l’efficienza energetica solo per definire un luogo teorico dell’alimentazione, anche se è raccomandato considerare altri aspetti (per es. prescrizioni costruttive, considerazioni estetiche, condizioni ambientali, ecc.).
Ciascun carico deve essere identificato mediante:
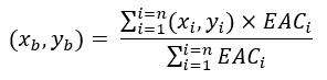
– le coordinate della sua posizione: (xi, yi) o (xi, yi, zi) a seconda se è disponibile la visione 2D o 3D;
– il consumo stimato annuale in kWh, EACi.
Se la stima del consumo annuale è sconosciuta, al suo posto si raccomanda di utilizzare la potenza del carico in kVA.
La posizione del baricentro attraverso le sue coordinate (xb, yb) deve essere determinata con la formula appropriata:
Esempio 1: calcolo del baricentro in un impianto di produzione
Nell’esempio, l’impianto di produzione ha i seguenti carichi (vedi Fig. A.1):
1) Accumulo logistico EAC1 = 120 kWh nella posizione x1 = 4 m; y1 = 4 m
2) Servizi EAC2 = 80 kWh nella posizione x2 = 9 m; y2 = 1 m
3) Ufficio EAC3 = 20 kWh nella posizione x3 = 9 m; y3 = 8 m
4) Produzione EAC4 = 320 kWh nella posizione x4 = 6 m; y4 = 12 m
Secondo la formula del baricentro:
la posizione x del baricentro è data da:
analogamente, la posizione y del baricentro è data da:
Figura A.1 – Esempio 1: Pianta dell’impianto di produzione con i carichi previsti ed il baricentro calcolato
...
Allegato B (informativo)
Esempio di metodo di valutazione dell’efficienza energetica di un impianto elettrico
B.1 Parametri di efficienza energetica EM
Le misure di efficienza energetica sono classificate secondo cinque livelli (da 0 a 4). Il livello 4 è considerato il livello più elevato. Ciascun livello comprende i precedenti.
Tabella B.1 - Determinazione del profilo di carico in kWh
Tabella B.1 – Determinazione del profilo di carico in kWh
...
Tabella B.2 – Posizione della cabina principale
...
Tabella B.3 – Analisi di ottimizzazione richiesta per i motori
...
Tabella B.4 – Analisi di ottimizzazione richiesta per l’illuminazione
...
Tabella B.5 – Analisi di ottimizzazione richiesta per HVAC
...
Tabella B.6 – Analisi di ottimizzazione richiesta per i trasformatori
...
Tabella B.7 – Analisi di ottimizzazione richiesta per il sistema di condutture
...
Tabella B.8 – Analisi di ottimizzazione richiesta per la correzione del fattore di potenza
...
Tabella B.9 – Prescrizione per la misura del fattore di potenza (PF)
...
Tabella B.10 – Prescrizione per la misura dell’energia elettrica (kWh) e della potenza (kW)
...
Tabella B.11 – Prescrizione per la misura della tensione (V)
...
Tabella B.12 – Prescrizione per la misura delle armoniche e delle interarmoniche
...
Tabella B.13 – Prescrizione per l’energia rinnovabile
...
B.2 Livelli di prestazione di efficienza energetica EEPL
I livelli di prestazione sono classificati secondo cinque livelli, da EEPL0 a EEPL4 (EEPL4 è il livello più elevato). Ciascun livello comprendete i precedenti.
Tabella B.14 – Prescrizione minima per la distribuzione del consumo annuale
Tabella B.15 – Prescrizione minima per la riduzione della potenza attiva
...
Tabella B.16 – Prescrizione minima per l’efficienza del trasformatore
...
B.3 Profili di impianto
La compilazione di vari livelli (misure di efficienza e livelli di prestazione di efficienza energetica) proposti dalla presente Norma può essere usata come base per i proprietari degli edifici, i gestori d’impresa, i gestori di servizi o gli utilizzatori finali per costruire un concetto di profilo per migliorare l’efficienza energetica del loro impianto elettrico usando le tabelle seguenti.
Questo profilo può essere usato anche come base per l’etichettatura futura degli impianti elettrici degli edifici.
Per ciascun tipo di applicazione, è possibile stimare il livello per ciascuna raccomandazione proposta.
Il risultato delle Tabelle da B.1 a B.13 con i relativi valori di classificazione, deve essere riportato nella Tab.17 e il risultato delle Tabelle da B.14 a B.16 nella Tab. B.18, usando l’ombreggiatura o mezzi simili (vedi esempio nell’art. B.5).
Le seguenti Tab. B.17 e B.18 sono una compilazione dei risultati delle considerazioni delle Tabelle da B.1 a B.16. Per ciascuna misura di efficienza e ciascun livello di prestazione di efficienza energetica, la tabella fornisce il livello raggiunto per ciascun punto ed un punteggio assegnato è indicato nell’ultima colonna secondo il seguente metodo:
– EM0 e EEPL0 corrispondono a 0 punti;
– EM1 e EEPL1 corrispondono a 1 punto;
– EM2 e EEPL2 corrispondono a 2 punti;
– EM3 e EEPL3 corrispondono a 3 punti;
– EM4 e EEPL4 corrispondono a 4 punti.
Ciascuna cella delle Tab. B.17 e B.18 deve essere completata dopo aver preso in considerazione ciascuna misura di efficienza e ciascun livello di prestazione di efficienza energetica.
Quando non è possibile valutare il numero corretto di punti per una particolare misura di efficienza o livello di prestazione di efficienza energetica, si raccomanda di adottare una classificazione di 2 punti (per es. ad un’abitazione senza trasformatore è raccomandato sia attribuito 2 nella cella della Tab. B.6).
La somma di tutti i punti inclusi nell’ultima colonna deve essere effettuata per stimare la classe di efficienza dell’impianto elettrico (vedi Tab. B.19).
Tabella B.17 – Profilo delle misure di efficienza energetica
Tabella B.18 – Profilo di prestazione di efficienza energetica per un impianto industriale
B.4 Classi di efficienza dell’impianto elettrico
Cinque classi di efficienza dell’impianto elettrico, da EIEC0 a EIEC4 (la classe EIEC4 è la più elevata), sono definite come un mix del minimo di misure di efficienza (EM) e del minimo di livelli di prestazione di efficienza energetica (EEPL):
– EIEC 0: impianto a efficienza molto bassa;
– EIEC 1: impianto a efficienza bassa;
– EIEC 2: impianto di efficienza di riferimento;
– EIEC 3: impianto a efficienza avanzata;
– EIEC 4: impianto a efficienza ottimizzata.
Lo scopo dell’utilizzo di queste classificazioni di efficienza è valutare l’efficienza energetica degli impianti con classi predefinite, quindi di migliorarlo.
La seguente Tab. B.19 deve essere usata per tutti i settori di attività.
La somma del numero totale di punti ottenuti per tutte le misure di energia e per tutti i livelli di prestazione di efficienza energetica deve essere confrontata con il numero di punti necessario per ciascuna classe di efficienza dell’impianto elettrico.
Tabella B.19 - Classi di efficienza dell’impianto elettrico
B.5 Esempio di profilo di impianto (IP) e di classe di efficienza dell’impianto elettrico
Tabella B.20 – Esempio di profilo di efficienza energetica - Misure di efficienza
Tabella B.21 – Esempio di profilo di efficienza energetica - Livelli di prestazione di efficienza energetica
...
segue in allegato
Certifico Srl - IT | Rev. 0.0 2019
©Copia autorizzata Abbonati
Fonti:
UNAE, CEI
Collegati
Direttiva 2010/31/UE
CEI 64-8: Tutte le varianti
CEI 64-8/3 Impianti a livelli
| Descrizione | Livello | Dimensione | Downloads | |
|---|---|---|---|---|
| Efficienza Energetica degli impianti elettrici Rev. 00 2019.pdf Certifico Srl - Rev. 0.0 2019 |
783 kB | 142 |




















