Decreto MATT 29 marzo 2018
| ID 6001 | | Visite: 4496 | Legislazione Ambiente | Permalink: https://www.certifico.com/id/6001 |
Impianti geotermici: premi e tariffe-premio
Decreto 28 Marzo 2018 - Modalità di verifica delle condizioni per il riconoscimento, nell’ambito degli schemi di incentivazione alle fonti energetiche rinnovabili, di premi e tariffe speciali per gli impianti geotermici che utilizzano tecnologie avanzate con prestazioni ambientali elevate
Art. 1. Oggetto
1. Il presente decreto disciplina le modalità di verifica e comunicazione del rispetto delle condizioni previste per il riconoscimento agli impianti geotermici dei premi e delle tariffe-premio di cui all’art. 27 del decreto ministeriale 6 luglio 2012 e in particolare:
a) il premio per la totale reiniezione del fluido geotermico nelle stesse formazioni di provenienza e comunque con emissioni nulle, di cui al comma 1, lettera a) ;
b) il premio per impianti geotermoelettrici ad alta entalpia in grado di abbattere, anche a seguito di rifacimento, almeno il 95% del livello di idrogeno solforato e di mercurio presente nel fluido in ingresso nell’impianto di produzione, di cui al comma 1, lettera c) ;
c) la tariffa-premio per impianti geotermici che fanno ricorso a tecnologie avanzate non ancora pienamente commerciali, di cui al comma 2.
Art. 3. Premio per la totale reiniezione del fluido nelle formazioni di provenienza
1. Ai fini dell’accesso al premio di cui all’art. 1, comma 1, lettera a) il Gestore dei servizi energetici (GSE) richiede:
a) alle Amministrazioni competenti, una attestazione che l’impianto è qualificato come impianto a totale reiniezione del fluido geotermico nelle stesse formazioni geologiche di provenienza e comunque con emissioni di processo nulle;
b) all’Autorità competente, una attestazione, resa successivamente all’entrata in esercizio dell’impianto, di conformità dello stesso impianto al titolo minerario rilasciato ai sensi del decreto legislativo 11 febbraio 2010, n. 22.
2. A seguito di esito positivo delle verifiche di cui al comma 1, il premio è riconosciuto previa comunicazione annuale da parte dell’Autorità competente, riferita all’anno solare precedente, di esercizio conforme al titolo minerario posseduto e alle eventuali ulteriori prescrizioni dell’Autorità competente, inviata al GSE entro il 30 aprile di ciascun anno. Il premio non è in ogni caso erogato in riferimento alla eventuale produzione elettrica nella quota di ore in cui l’impianto ha funzionato in condizioni diverse dal normale esercizio, generando emissioni di processo in atmosfera. Ai fini di cui al presente comma, il GSE rende pubbliche apposite modalità operative.
3. Ai fini di cui al comma 2, l’Autorità competente può richiedere al produttore, laddove non sia già presente, l’installazione di sistemi di monitoraggio che consentano di verificare l’effettivo rispetto della condizione di totale
reiniezione del fluido geotermico nelle formazioni geologiche di provenienza e di emissioni di processo nulle.
Art. 4. Premio per l’abbattimento di almeno il 95% del livello di idrogeno solforato e di mercurio
1. La domanda per la verifica dei requisiti di accesso al premio di cui all’art. 1, comma 1, lettera b) è presentata all’Autorità competente dai produttori elettrici interessati, successivamente alla data in cui l’impianto è in esercizio nell’assetto idoneo a conseguire gli obiettivi di abbattimento delle emissioni. La domanda è inviata, per conoscenza, anche al GSE.
2. La domanda di cui al comma 1 contiene:
a) i codici necessari ad identificare il progetto nella banca dati del GSE e la data di entrata in esercizio dell’impianto;
b) la proposta del sistema da impiegare per la misurazione dell’abbattimento del livello di idrogeno solforato e mercurio («catena di misura») secondo quanto previsto nell’allegato 1 al presente decreto;
c) la ricevuta dell’avvenuto versamento, a favore dell’Autorità competente, dei costi per la prima verifica della catena di misura sulla base dei prezziari di cui all’art. 6.
3. Il GSE, sentita l’Autorità competente, entro 15 giorni dalla ricezione della domanda di cui al comma 1, invia i documenti tecnici di cui dispone ritenuti utili dalla medesima Autorità per le proprie attività di verifica.
4. Entro 60 giorni dalla ricezione della domanda, l’Autorità competente, in condizioni di normale esercizio dell’impianto, verifica e valida la catena di misura. L’esito della verifica è comunicato al richiedente e al GSE.
5. La catena di misura è verificata su base annuale da parte dell’Autorità competente, e può essere aggiornata su richiesta della stessa Autorità competente ovvero su proposta del produttore. La verifica è comunque effettuata in caso di modifiche delle condizioni di normale esercizio dell’impianto, che devono essere comunicate con preavviso di almeno 3 mesi all’Autorità competente e al GSE.
6. Sulla base della catena di misura validata sono rilevati i livelli di idrogeno solforato e mercurio in entrata e in uscita dall’impianto con le modalità e le cadenze di cui all’allegato 1.
7. Entro il 30 aprile di ogni anno l’Autorità competente effettua il calcolo complessivo della riduzione dei livelli di mercurio e idrogeno solforato riferito a ciascuna ora dell’anno solare precedente comunicandone l’esito al GSE. Il premio è riconosciuto per la sola quota di ore nelle quali l’Autorità competente rileva una riduzione di almeno il 95% dei livelli di mercurio e idrogeno solforato.
Ai fini di cui al presente comma il GSE rende pubbliche apposite modalità operative.
8. Il premio di cui al presente articolo non è cumulabile con il premio di cui all’art. 3 e con la tariffa-premio di cui all’art. 5.
Art. 5. Tariffa-premio per impianti innovativi
1. Per l’accesso alla tariffa-premio di cui all’art. 1, comma 1, lettera c) , la verifica del rispetto delle condizioni fissate dall’art. 1, comma 3 -bis , del decreto legislativo n. 22 del 2010 è effettuata con le modalità di cui all’art. 3.
2. Per la verifica dei requisiti relativi alla concentrazione minima di gas e alla temperatura del fluido, i produttori elettrici interessati presentano domanda all’Autorità competente. La domanda è inviata, per conoscenza, anche al GSE.
3. La domanda di cui al comma 2 contiene:
a) i codici necessari ad identificare il progetto nella banca dati del GSE e la data di entrata in esercizio dell’impianto;
b) ricevuta dell’avvenuto versamento, a favore dell’Autorità competente, dei costi per la prima verifica di cui al comma 5.
4. Il GSE, sentita l’Autorità competente, entro quindici giorni dalla ricezione della domanda di cui al comma 2, invia i documenti tecnici di cui dispone che la medesima Autorità competente ritenga utili per le proprie attività di verifica.
5. Al fine di stabilire la tariffa-premio spettante ai sensi dell’art. 27, comma 2, lettera a) o b) del decreto ministeriale 6 luglio 2012, entro 60 giorni dalla presentazione della domanda, l’Autorità competente effettua la verifica
volta a determinare la temperatura e la concentrazione percentuale in peso di gas nel fluido geotermico totale, in condizioni di normale esercizio dell’impianto, con le seguenti modalità:
a) la temperatura è misurata a testa pozzo. In caso l’impianto sia alimentato da più pozzi, la grandezza è calcolata facendo la media ponderata usando come pesi le corrispondenti portate di massa dei fluidi geotermici;
b) la concentrazione percentuale in peso di gas, qualora il fluido geotermico totale sia monofase, è misurata all’ingresso dell’impianto. Qualora invece il fluido sia bifase, la misura è effettuata al separatore di centrale, considerando sia la fase aeriforme che quella liquida; nel caso siano presenti più separatori, la grandezza è calcolata facendo la media ponderata usando come pesi le corrispondenti portate di massa dei fluidi geotermici.
6. Fermo restando il comma 1, in caso la verifica di cui al comma 5 abbia dato esito positivo, la tariffa-premio è calcolata sulla base dei valori rilevati e riconosciuta a partire dalla data di presentazione della domanda fino alla verifica successiva.
7. La verifica di cui al comma 5 è aggiornata con cadenza annuale e comunque in caso di modifiche delle condizioni di normale esercizio dell’impianto, che devono essere comunicate all’Autorità competente con preavviso di almeno tre mesi.
8. L’Autorità competente può comunque effettuare ulteriori verifiche senza oneri a carico del produttore elettrico.
9. In caso le verifiche di cui ai commi 7 e 8 abbiano dato esito positivo, la tariffa-premio è riconosciuta fino alla verifica successiva. In caso di esito negativo dell’ultima verifica, i produttori di energia elettrica possono richiedere ulteriori verifiche, che sono effettuate dall’autorità competente entro un termine di sessanta giorni dalla precedente.
10. Entro trenta giorni da ciascuna verifica, l’Autorità competente comunica al GSE e al produttore elettrico l’esito e le informazioni necessarie ai fini della determinazione della tariffa-premio di cui alla lettera a) o b) del comma 2 dell’art. 27 del decreto ministeriale 6 luglio 2012 e dei periodi di spettanza.
11. Nel caso in cui dalle comunicazioni di cui all’art. 3 comma 3 risulti che l’impianto ha funzionato per un periodo di tempo in condizioni diverse dal normale esercizio generando emissioni in atmosfera, il GSE effettua i necessari conguagli.
12. Agli impianti per i quali sia comunque verificato il rispetto delle condizioni di cui al comma 1, che a seguito di esito negativo delle verifiche di cui al comma 5 non ottengono l’accesso alla tariffa-premio di cui al presente articolo, è applicata la tariffa incentivante di cui all’art. 7 comma 2 del decreto ministeriale 23 giugno 2016, calcolata secondo quanto disposto nel paragrafo «Determinazione degli incentivi per impianti nuovi» dell’allegato 1 del medesimo decreto.
...
ALLEGATO 1
Modalità di verifica per l’accesso al premio per l’abbattimento di almeno il 95% del livello di idrogeno solforato e di mercurio
La riduzione di idrogeno solforato (H 2 S) e mercurio (Hg) è calcolata confrontando i livelli presenti nei flussi dai pozzi in ingresso nell’impianto geotermico e quelli nei flussi in uscita verso l’ambiente dalla torre di raffreddamento e dall’impianto di abbattimento AMIS.
1. SCHEMA GENERALE DELL’IMPIANTO E DEFINIZIONE DELL’EFFICIENZA DI ABBATTIMENTO
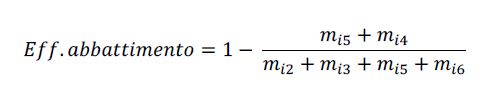
Si prenda a riferimento lo schema generale di impianto riportato in Figura 1, considerando i flussi di massa (m) della specie «i» (H 2 S e Hg) , in cui:
mi0= Flusso dai pozzi in ingresso nell’impianto
mi1=Vapore in ingresso dai pozzi alla centrale
mi2= Liquido dai pozzi di produzione inviato ai pozzi di reiniezione calda; nel caso l’impianto sia alimentato da più pozzi di produzione la grandezza è calcolata con la seguente formula: (Ci X L) dove Ci è la concentrazione media della specie i nel liquido avviato ai pozzi di reiniezione ed
L è ottenuto moltiplicando la portata del vapore in ingresso alla centrale geotermica per la media ponderata della ripartizione liquido-vapore dei pozzi.
mi3= Uscita gas dall’estrattore gas della centrale
mi4= Uscita gas dall’AMIS di centrale
mi5= Uscita aeriforme dalla torre di centrale
mi6= Uscita acqua di condensa dalla torre di centrale inviata a reiniezione
L’efficienza di abbattimento sull’impianto (Eff. abbattimento) è calcolata secondo la seguente relazione:
2. LE FASI OPERATIVE
La misurazione dell’efficienza dell’impianto prevede quattro fasi operative:
I) Proposta da parte del produttore di elettricità di un sistema di misurazione dei livelli di H2S e Hg in ciascuno dei flussi di massa m2, m3, m4, m5, m6 («catena di misura») sulla base degli strumenti e delle migliori tecniche disponibili nonchè della normativa tecnica di riferimento, fermo restando che:
a. per la rilevazione di mercurio nel flusso m5 devono essere impiegati strumenti che garantiscano affidabilità delle misura ai fini della determinazione del premio, con intervallo di rilevabilità da 0,5 ng/Nm3 a 500 μg/Nm3;
b. per la rilevazione di idrogeno solforato e mercurio nei flussi in ingresso (m3) e in uscita (m4) dall’AMIS, possono essere impiegati sistemi di misura diretta in continuo (analizzatori) o, in alternativa, un algoritmo che derivi la misura partendo da dati di processo; in tale ultimo caso, nell’ambito delle verifiche annuali di cui alla fase II) , l’Autorità competente valuta comunque l’opportunità di richiedere l’applicazione di un sistema di misura diretta in continuo.
II) Validazione iniziale e verifiche annuali successive da parte dell’Autorità competente del sistema di misurazione dei livelli di H 2 S e Hg in ciascuno dei flussi di massa. Per la validazione iniziale della metodologia di misura, l’Autorità competente può avvalersi di un ente terzo. Eventuali modifiche della catena di misura possono essere richieste dall’Autorità competente ovvero proposte dal produttore di energia.
Per i flussi m3 e m4 la validazione iniziale e le successive verifiche annuali prevedono in ogni caso una misura diretta effettuata dall’Autorità competente.
III) Rilevazione dei livelli di Hg e H 2 S sulla base della catena di misura validata da parte dell’Autorità competente. La frequenza delle rilevazioni necessarie a determinare i livelli di H 2 S e Hg è almeno:
a. triennale per i flussi m2 e m6
b. annuale per il flusso m5
c. orario per i flussi m3 e m4
IV) Calcolo del premio sulla base dell’equazione (1). Il rispetto delle soglie di riduzione di Hg e H 2 S previsti per l’accesso al premio sono verificati dall’Autorità competente su base oraria e successivamente comunicati al GSE. Ai fini del calcolo, le grandezze monitorate su diversi intervalli (annuali/triennali) sono tenute costanti per il periodo che intercorre tra le rilevazioni.
Tutte le operazioni di campionamento necessarie alle fasi II) e III) sono effettuate direttamente dall’Autorità competente, dall’ente terzo da essa delegato, ovvero dal soggetto produttore di energia in presenza dell’Autorità competente.
....
GU Serie Generale n.91 del 19-04-2018

























