EN ISO 14119: Analisi della forza di tenuta interblocchi
| ID 2191 | | Visite: 15468 | Documenti Estratti Norme | Permalink: https://www.certifico.com/id/2191 |
EN ISO 14119 Analisi della forza di tenuta degli interblocchi / Rev. 1.0 2025
ID 2191 | Rev. 1.0 23.06.2025 / Documento di approfondimento in allegato .docx/.pdf
Documento di approfondimento sulla forza di tenuta degli interblocchi in accordo alla norma tecnica EN ISO 14119:2025.
Tra le novità dell’edizione 2025 c’è il nuovo Allegato I che descrive come effettuare la prova per la forza di tenuta e la prova di resistenza all'impatto per i dispositivi di interblocco.
Il fabbricante del dispositivo di interblocco deve specificare la forza di tenuta massima FZH che il dispositivo di interblocco sopporta quando è chiuso. Tale forza, FZH, deve essere determinata in conformità all'Allegato I della EN ISO 14119:2025.
Il dispositivo di interblocco deve essere scelto in modo che la forza massima prevista esercitata sul riparo FMAX (vedere Allegato H) non superi la forza di tenuta massima, FZH.
L’edizione 2025 sostituisce la EN ISO 14119:2013. Le principali novità della nuova edizione riguardano:
- integrazione dei dispositivi di interblocco a chiave intrappolata coperti della norma ISO/TS 19837:2018 “Sicurezza del macchinario - Dispositivo di interblocco a chiave intrappolata - Principi di progettazione e selezione”. Le chiavi intrappolate sono classificate come “dispositivi di interblocco di Tipo 5". La ISO/TS 19837:2018 è stata ritirata a Dicembre 2024;
- inclusione dei criteri di Fault Masking, fino ad ora coperti dalla norma ISO/TR 24119:2015 “Safety of machinery - Evaluation of the serial link for masking faults of interlocking devices associated with protections with potential free contacts”;
- test e procedure sono descritte nel nuovo allegato I;
- indicazioni specifiche per la Tabella 5: “Misure aggiuntive contro la disattivazione dei dispositivi di interblocco a seconda del tipo” (Tabella 6 del presente documento).
Data entrata in vigore: 12 marzo 2025 Sostituisce: EN ISO 14119:2013 Recepita in Italia con UNI EN ISO 14119:2025 (Entrata in vigore: 05 giugno 2025) Alla data di pubblicazione del presente documento la nuova edizione non è ancora armonizzata per la Direttiva 2006/42/CE Macchine.
[...]
I.1.2 Valutazione
I.1.2.1 Generalità
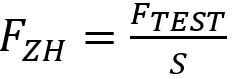
In base alla forza di bloccaggio massima di test, FTEST, misurata durante la prova, tenendo conto del fattore di sicurezza S, la forza di bloccaggio massima FZH viene determinata utilizzando la formula (I.1):
dove S = 1,3.
I.1.2.2 Requisiti del dispositivo di prova
Velocità di trazione: costante (10 ± 0,25) mm/min.
I.1.2.3 Requisiti del dispositivo di misurazione della forza
Frequenza di campionamento: ≥10 Hz.
Precisione di misurazione della forza massima: ±2,5%.
Nota Per i dettagli della prova, vedere la norma DIN 33411-5:2023.
[...]
Allegato H Esempi di forze di azionamento statiche massime
Gli esempi nella Tabella H.1 possono fornire delle indicazioni per le forze di azionamento statico massime.
[...]
[...] Segue in allegato documento di approfondimento .docx/.pdf
Fonti
EN ISO 14119:2025
EN ISO 14119:2013
Certifico Srl - IT | Rev. 1.0 2025
©Copia autorizzata Abbonati
Matrice Revisioni
| Rev. | Data | Oggetto | Autore |
| 1.0 | 23.06.2025 | Aggiornamento in accordo EN ISO 14119:2025 | Certifico Srl |
| 0.0 | 08.01.2016 | --- | Certifico Srl |
Collegati
EN ISO 14119 | Interblocchi
Direttiva Macchine 2006/42/CE
Norme Armonizzate Direttiva Macchine 2006/42/CE (DM)
Macchine: misure di protezione e dispositivi complementari
ISO/TS 19837:2018 - Trapped key interlocking devices
Interblocchi e sicurezza positiva: esempi di installazione
| Descrizione | Livello | Dimensione | Downloads | |
|---|---|---|---|---|
| EN ISO 14119 Analisi della forza di tenuta degli interblocchi Rev. 1.0 2025.docx Certifico Srl - Rev. 1.0 2025 |
592 kB | 29 | ||
| EN ISO 14119 Analisi della forza di tenuta degli interblocchi Rev. 1.0 2025.pdf Certifico Srl - Rev. 1.0 2025 |
409 kB | 40 | ||
| EN ISO 14119_Annex I.docx Analisi della forza di tenuta interblocchi |
138 kB | 82 | ||
| EN ISO 14119_Annex I.pdf Analisi della forza di tenuta interblocchi |
300 kB | 143 |




















