Rettifica regolamento (UE) 2019/1148
| ID 9051 | | Visite: 4586 | Regolamento REACH | Permalink: https://www.certifico.com/id/9051 |
Rettifica regolamento (UE) 2019/1148
Rettifica del regolamento (UE) 2019/1148 del Parlamento europeo e del Consiglio, del 20 giugno 2019, relativo all'immissione sul mercato e all'uso di precursori di esplosivi, che modifica il regolamento (CE) n. 1907/2006 e che abroga il regolamento (UE) n. 98/2013 (Gazzetta ufficiale dell'Unione europea L 186 dell'11 luglio 2019)
GU L 231/30 del 06.09.2019
...
La pagina 18 va letta come segue:
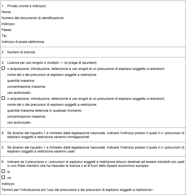
«ALLEGATO III FORMATO PER LICENZE Formato per licenze per un privato per l'acquisto, l'introduzione, la detenzione e l'uso di precursori di esplosivi soggetti a restrizioni, di cui all'articolo 6, paragrafo 8.
Collegati:
Regolamento (UE) N. 98/2013
Regolamento (CE) n. 1907/2006 REACH
Guidelines marketing and use of explosives precursors

























